Պարապունք 26
1․ Ի՞նչ է աղեղը։
2․Ո՞ր անկյունն է կոչվում կենտրոնային։ GEOGEBRA ծրագրով գծել կենտրոնային անկյունը։
3․ Ո՞ր անկյունն է կոչվում ներգծյալ։ GEOGEBRA ծրագրով գծել ներգծյալ անկյունը։
4․ AB լարի վրա հենված կենտրոնական անկյունը հավասար է 56°։ Գտնել AB աղեղի աստիճանային չափը։
56×2=112
5․ Որքա՞ն է կենտրոնային անկյունը, եթե նրան համապատասխանող ներգծյալ անկյունը 68° է:
68:2=34
6․ Դիցուք BAC անկյունը 48° է: Որքա՞ն է BnC աղեղի աստիճանային չափը՝
48:2=24
7․ Գտնել ASB անկյունը, եթե ASB աղեղի աստիճանային չափը 258° է:
360-258=102
102:2=51
<AOB=<ASB=51o
8․ Գտնել BOC և BAC անկյունները, եթե ∪AB=147° և ∪AC=135°
147+135=282
360-282=78
78:2=39o
<BAC=39o
<BOC=78o
Պարապմունք 25
Թեմա՝ Շրջանագծի շոշափող:
- Հաշվել RNK անկյունը և շրջանագծի շառավիղը, եթե MN=10 սմ է և ∠ RON=30°

60+90=15
Պատ`150
2. Հաշվել շրջանագծի շառավիղը, եթե AO=9սմ է և ∠ OAK=30°

Ok=1/2 AO=1/2×9=4,5սմ
Պատ4,5սմ:
3. Շրջանագծի A կետով տարված են շոշափող և շառավիղին հավասար լար։ Գտեք լարի և շոշափողի կազմած անկյունը։ GEOGEBRA ծրագրով գծել գծագիրը:
90-60=30
Պատ`30
4. Շրջանագծի շառավիղին հավասար KM լարի ծայրակետերով տարված են այդ շրջանագծի շոշափողներ, որոնք հատվում են N կետում։ Գտեք KMN եռանկյան անկյունները։ GEOGEBRA ծրագրով գծել գծագիրը:
90-60=30
KNM=180-60=120
Պատ`30,30,120
5. Շրջանագծին A, C և E կետերում տարված են AB, BD և DE շոշափողները, իսկ AB=7 սմ: Որոշիր ACE եռանկյան պարագիծը:

ACx3=21
Պատ`21 սմ
Պարապունք 24
1․ Ո՞ր ուղիղն է կոչվում շոշափող:
Եթե ուղիղը շրջանագծի հետ ունի մեկ ընդհանուր կետ, ապա այն կոչվում է շրջանագծի շոշափող:
2. Գրել շրջանագծի շոշափողի հատկությունները:
Շոշափման կետերի հեռավորությունները տրված կետից հավասար են,Շրջանագծի կենտրոնով և տրված կետով անցնող ուղիղը կիսում է շոշափողների կազմած անկյունը:
3. Տրված է՝ ∠CAO=29°

Հաշվել ՝ ∠ABO և ∠COA
<ABO = 61°
<COA = 61°
4. Տրված է՝ AB=12մ BO=5մ։ Գտնել CA-ն և OC-ն

CA = 12մ
OC = 5մ
5. AB ուղիղը B կետում շոշափում է O կենտրոնով և r=2,5 սմ շառավիղով շրջանագիծը: Գտնել ABO եռանկյան անկյունները, եթե AO=5 սմ:
<BAO = 300
<ABO = 900
<BOA = 600
6. Տրված է O կենտրոնով և 3,5 սմ շառավիղով շրջանագիծ: A կետն այնպիսին է, որ AO=7 սմ: A կետով տարված են այդ շրջանագծի երկու շոշափողներ: Գտնել դրանց կազմած անկյունը:
<BAC=30o+30o=60o
7. AB-ն և AC-ն O կենտրոնով շրջանագծին A կետից տարված շոշափողների հատվածներն են : Գտնել BAC անկյունը, եթե AO հատվածի միջնակետը գտնվում է այդ շրջանագծի վրա:
600
8. Տրված է A անկյանը, որի կողմերը շոշափում են O կենտրոնով և 6,78 սմ շառավղով շրջանագիծը: Հաշվել OA հատվածի երկարությունը, եթե ∠A=60°:
13,56սմ

600
Պարապմունք 26
Թեմա՝ Ռացիոնալ արտահայտություն և նրա թվային արժեքը։ Վարժությունների լուծում։
- Արտահայտությունը գրել առանց բացասական աստիճանների.

ա)b+a/ab. բ)1/a2+2ab+b2 գ)a2+b2/a2+b2. դ)a2/a2+1
2. Հաշվել.

ա)1/5+1/10=2+1/10=3/10. բ)1/(0,5+1)=1/1/2+1/1=1/1+2/2=3/2. գ)1/2-4+4-2=1/1/24/1/42=1/1/8=8
3. Տառերի ինչպիսի՞ արժեքների դեպքում է որոշված արտահայտությունը

ա)որոշված է a= չէ 0 բ) որոշված է, երբ x-1=/0 գ)որոշված չէ,երբ c+3=0 c=-3 որոշված է c=/ -3
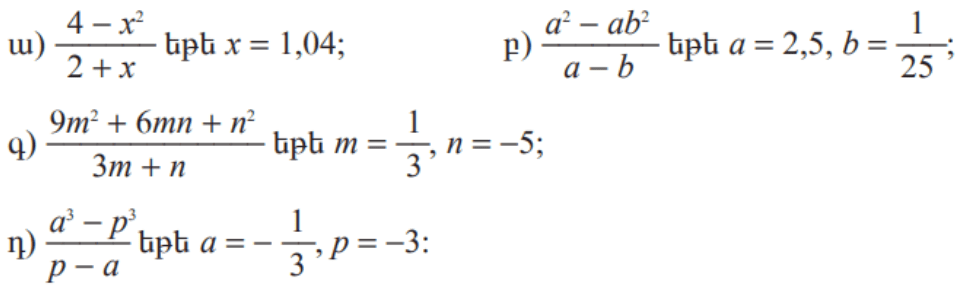
4. Գտնել արտահայտության արժեքը.

5. Գտնել արտահայտության արժեքը.

ա)1/10 բ)1:1/2=2
Դեկտեմբերի 16-20
1.Ինչ պիսի՞ կառուցվածք ունեն կմախքային մկանները:
Կմախքային մկանները ունեն շերտավոր կառուցվածք՝ կազմված մկանային մանրաթելերից, որոնք միանում են միկրոֆիլամենտներով (ակտին և միոզին): Մկանները շրջապատված են 3 շերտերով՝ էպիմիզիում, պերինիզիում և էնդոմիզիում:
2. Ի՞նչ դեր է կա տարում մկանային համակարգը:
Մկանային համակարգը պատասխանատու է մարմնի շարժման, դիրքի պահպանումը, ջերմության արտադրությունը և օրգանների պաշտպանությունը:
3.Ի նչպե՞ս են կատարվում շարժուﬓերը հոդերի ﬕջոցով:
Շարժումները հոդերի միջոցով կատարվում են մկանների սակարկումների արդյունքում. երբ մկանները կրճատվում են, դրանք ազդում են ոսկրերի վրա, որի հետևանքով հոդերում տեղի են ունենում շարժումներ:
4.Որտե՞ղ են տեղակայված հարթ և ﬕջաձիգ զոլավոր մկանները:
Հարթ զոլավոր մկանները գտնվում են ներքին օրգանների (օրինակ՝ ստամոքս, աղիքներ) պատերում, իսկ ուղղաձիգ զոլավոր մկանները՝ կմախքում, հիմնականում՝ վերջույթների և մարմնի մեծ մկաններում:
5.Ի նչպիսի՞ հիﬓական մկանախմբեր գիտեք:
Հիածական մկանախմբերը լինում են.
1. Կախված մկանախումբ(փորոտիկ)՝ մարմնի շարժման համար պատասխանատու մկաններ:
2. Արդյունքային մկանախումբ՝ կազմված շարժման համակցված մկաններից, որոնք միաժամանակ աշխատում են:
3. Բազային մկանախումբ՝ կտրուկ կարգավորումներ կատարող մկանախմբեր:
Աշխարագրության ամփոփում
1.Նշել Գերմանիայի տնտեսության զարգացման նախադրյալները: Ի՞նչ դեր ունի Գերմանիան ժամանակակից աշխարհում:
Գերմանիայի տնտեսության զարգացման նախադրյալները ներառում են արտահանման կողմնորոշված արդյունաբերություն, բարձրորակ կրթություն, նորարարություններ, սոցիալական շուկայի տնտեսություն և Եվրոպական միության անդամություն: Այս գործոնները նպաստել են նրա տնտեսական:
2.Բնութագրեք Հարավային Եվրոպայի աշխարհագրական դիրը, ինչպե՞ս է այն փոխվել ժամանակի ընթացքում:
Հարավային Եվրոպայի աշխարհագրական դիրքը ընդգրկում է Անդորրայի, Իսպանիայի, Պորտուգալիայի, Իտալիայի, Հունաստանի, Սենտրալ Աֆրիկայում գտնվող երկրների տարածքները: Այն սահմանափակված է Հյուսիսային Ամերիկայի մայրցամաքով:
3.Որո՞նք են Հարավային Եվրոպայի երկրների տնտեսությունների զարգացած ճյուղերը
Նշել Իտալիայի աշխարհագրական դիրքի առավելություններն ու թերությունները:
4.Ինչո՞վ է բացատրվում Ռուսաստանի բնակչության անհամաչափ բաշխումը։
Ռուսաստանի բնակչության անհամաչափ բաշխումը բացատրվում է կլիմայական պայմաններով (հյուսիսում ցուրտ է), տնտեսական զարգացման տարբերություններով (դիմադրողական շրջաններ՝ Մոսկվա, Սանկտ Պետերբուրգ), և վատ զարգացած ինֆրակառուցվածքով Սիբիրում ու արևելքում։
5.Որո՞նք են Վաստանի զարգացման նախադրյալնե
Հրաշալի դիրք՝ Եվրոպայի և Ասիայի միջև, առևտրի համար ռազմավարական մուտք:
Բնական ռեսուրսներ՝ հանքանյութեր և գյուղատնտեսական պաշարներ:
Տուրիզմ՝ պատմական վայրեր և բնական գեղեցկություն:
Գյուղատնտեսություն՝ գինեգործություն և չիր արտադրություն:
Միջազգային ինտեգրացիա՝ ԵՄ և ՆԱՏՕ-ին անդամակցման ձգտում:
6.Ի՞նչ դեր ունի հարավ-արևմտյան Ասիան ամողջ աշխարհում։
Էներգետիկ նշանակություն՝ հարուստ է նավթով ու գազով, ինչը կարևոր է համաշխարհային էներգետիկ շուկաների համար:
Քաղաքական և ռազմավարական դիրք՝ կարևոր աշխարհաքաղաքական անցումային տարածք, որտեղ տեղի են ունենում բազմաթիվ հակամարտություններ:
Տարածաշրջանային հզորություններ՝ Իրանը, Թուրքիան ու Սաուդյան Արաբիան ազդում են տարածաշրջանային և համաշխարհային քաղաքականության վրա:
Մշակութային և կրոնական ազդեցություն՝ հանդիսանում է բազմաթիվ կրոնների ու մշակույթների կենտրոն:
Տուրիզմ՝ պատմական և կրոնական վայրերի շնորհիվ, մեծ նշանակություն ունի գլոբալ զբոսաշրջության մեջ:
Test English
Fill in the correct form of the PRESENT TENSE (simple and progressive)
Dear Editor! I written (WRITE) this letter because it seems (SEEM) to me that far too many changes taking (TAKE) place in my country these days, and, as a result, we losing (LOSE) our identity. I (LIVE) living in a small town but even this town changes (CHANGE) before my eyes. For example, town authorities builds (BUILD) a burger place where my favourite restaurant used to be. Our culture belongs (BELONG) to everybody, and I dont understand (NOT UNDERSTAND) why the town leaders doesn’t do anything (NOT DO) to preserve it. They simply don’t care dont care (NOT CARE). In fact, I think (THINK) of starting an action group. I to appear (APPEAR) on a TV show on Friday evening to make people aware of how importance this issue is. It’s time for us to start doing something before it gets (GET) too late.
Past Tense – Simple or Progressive: Fill in the correct form 1. I i sew Sue in town yesterday, but she didnt see me. She was looking the other way. (see, not see, look) 2. I met Tom and Jane at the airport a few weeks ago. They were going to Berlin and I was going to Madrid. had a chat while we were waithing for our flights. (meet, go,go,have,wait) 3. I was cycling home yesterday when suddenly a man steeped out into the road in front of me. I was going quite fast but luckily I managing to stop in time and did not hit him. (cycle, step, go, manage, not hit) 4. Jerry was waithing for me when I arrived . (wait, arrive) 5. “What at this time yesterday”? – “I was asleep.” (you do) 6. did you go out out last night?” – “No, I was too tired”. (you go) 7. “Was Carol at the party last night?” – “Yes she was waring a really nice dress.” (wear) 8. How fast were you driving when the accident happened ? (you drive, happen) 9. John took a photo of me while I was not looking . (take, not look) 10. We were in a very difficult position. We didnt know what to do. (be, not know) 11. I haven’t seen Alan for ages. Here are the sentences with the correct verb forms filled in:. When I last saw*him, he was trying to find a job in Leeds. (see, try) I was walkingalong the street when suddenly I heard footsteps behind me. Somebody was following me. I was frightened and started to run. (walk, hear, follow, start)
14. When I was young I wantedto be a bus driver. (be, want)
15. While Mike was watching TV, Sheila **was reading** a book. (watch, read)
16. She **was waiting** for the bus when I **saw** her yesterday. (wait, see)
17. On Sunday I **went** for a walk and then I **visited** the museum. (go, visit)
18. He **was preparing** lunch when the first guests **arrived**. (prepare,arrive) 19. She **was sleeping** when she suddenly **heard** a strange noise. (sleep, hear) 20. We were sailing** on the lake when a terrible thunderstorm **came** up. (sail, come)
21. Some minutes later his friend came** to take him to the airport. (come)
22. While his friend **was driving the car, John **was talking** about his holidays. (drive, talk)
23. John **was having** a shower when the telephone **rang**. (have, ring)
24. When they **arrived** at the airport, the plane **was already flying** high above their heads. (arrive, already fly)
25. They **went** to the restaurant and **had** a cup of coffee. (go, have)
26. While the football teams **were warming** up, the fans **were waving** their flags. (warm, wave)
16.12.2024
Ինչքան որ հուր կա…
Ինչքան որ հուր կա իմ սրտում բոլորը քեզ.
Ինչքան կրակ ու վառ խնդում բոլորը քեզ.
Բոլո՜րը տամ ու նվիրեմ, ինձ ո՛չ մի հուր թող չմնա՝
Դո՜ւ չմրսես ձմռան ցրտում. բոլո՜րը քեզ… Եղ․Չարենց
Հարցեր ու առաջադրանքներ՝ տոնական շաբաթվա համար։ Կարող եք կատարել մաս-մաս։
1.Պատմիր տոնական Եղևնու մասին, քրիստոնեական ի՞նչ խորհուրդ ունի այն։
Տոնական Եղևնին, որն ավանդաբար զարդարվում է Զատիկի առաջ, խորհրդանշում է Քրիստոսի Հարությունը: Այն ծառ է, որը չորանալով, վերածնվում է, իսկ քրիստոնեական առումով՝ դառնում Հիսուսի մահից հետո հարության խորհրդանիշ: Եղևնին նշանավոր է նաև Աստծու հետ կապի վերածնունդով։
2.Գրի՜ր ամանորյա գոյականներ, ածականներ , միացրու՜ բայերին և ստացի՜ր ամանորյա պատում։
Նոր տարին մոտենում էր, և տները զարդարել էին տոնական լույսերով։ Ընտանիքները միասին էին, նվերներ նվիրեցին ու ուրախացան։ Եղևնին փայլում էր, իսկ հրաշկները լցնում էին սրտերը՝ նոր տարվա տոնական խնջույքում։
3.Ստեղծագործիր ՝ <<Ազատությունն իմընկալմամբ>>թեմայով։
Յուրաքանչյուր հաջողված աշխատանք հրապարակվելու է։
Ազատությունն իմ ընկալմամբ
Ազատությունն ինձ համար այն է, երբ ես կարող եմ լինել ինքս ինձ, ընտրել իմ ճանապարհը և անարգել հետևել իմ սկզբունքներին։ Դա ոչ միայն ֆիզիկական, այլ նաև ներքին ազատություն է՝ երբ ազատ ես քո մտքերից, վախերից ու կասկածներից։ Ազատությունն իմ ընկալմամբ կապված է ինքնաճանաչման և մյուսներին հարգելու ունակության հետ։
4.Նոր մտահաղացումներ ու ծրագրեր առաջարկիր ընկերոջդ՝ ամանորը կազմակերպելու առիթով։
Սիրելի ընկեր, առաջարկում եմ՝
1. Թեմատիկ խնջույք՝ ընտրենք հետաքրքիր թեմա, օրինակ՝ «Ռետրո Ամանոր»։
2. Երաժշտություն և պարեր՝ կազմակերպենք համատեղ պարեր և երգեր։
3. Նվերների փոխանակման խաղ՝ յուրահատուկ ու հումորային նվերներ ընտրենք։
4. Ֆիլմի դիտում՝ պատրաստենք հանգիստ անկյուն և դիտենք ամանորյա ֆիլմեր։
Ինչպե՞ս է թվում։
4.Կիրակնօրյա ընթերցարան, Ռեյ Բրեդբերի «Լիճը»
Ալիքն ինձ կտրեց աշխարհից, երկնքի թռչուններից, լողափի երեխաներից, ափին կանգնած մայրիկիցս: Մի պահ մենակ կանաչ լռություն էր: Հետո էլի հետ տվեց երկնքին, ավազին ու աղմկոտ երեխաներին: Լճից դուրս եկա, ու աշխարհն ինձ էր սպասում. գնալուցս էս կողմ գրեթե չէր շարժվել: Ափ վազեցի: Մայրիկս փափուկ սրբիչով սրբեց ու ասաց. «Կանգնիր, որ չորանաս»: Կանգնած նայում էի, թե ոնց էր արևը թևիցս ջրի կաթիլները տանում, ու փոխարենը մարմինս փշաքաղվում էր: «Վայ, ի՛նչ քամի է, – ասաց մայրիկս: – Հագնվի՛ր»: «Թող տեսնեմ՝ ոնց եմ փշաքաղվում», – ասացի: «Հա՛րոլդ», – սաստեց մայրիկը: Ես հագնվեցի ու սկսեցի նայել, թե ոնց են ալիքները գալիս ու ափին փշրվում: Ոնց պատահի չէին փշրվում, այլ մի տեսակ ալիքներին հատուկ կանաչ նազանքով: Հարբած մարդն էլ սրանց պես սահուն փուլ չէր գա: Սեպտեմբերն էր: Վերջին օրերը, երբ ամեն ինչ առանց պատճառի տխուր է դառնում: Լողափը երկար էր ու դատարկ՝ հազիվ վեց հոգի մարդ կլիներ: Երեխաներն էլ գնդակ չէին խաղում, որովհետև քամու սուլոցը նրանց էլ էր տխրեցրել, ու նստած զգում էին, թե աշունը ոնց է անծայրածիր ափով իրենց կողմ գալիս: Տաք նրբերշիկ վաճառող կրպակները դեղին տախտակներով մեխած էին, երկար, անհոգ ամռան՝ մանանեխի, սոխի, մսի բույրը զմռսած, ամառը՝ ոնց որ դագաղի մեջ մեխած: Մեկ առ մեկ ամեն ինչ փակվում էր, կողպվում, ու քամին գալիս՝ փարվում էր ավազին, սրբում-տանում էր հուլիս, օգոստոս ամիսների անթիվ, անհամար ոտնահետքերը: Ստացվում էր, որ հիմա, սեպտեմբերին, կոր ափի եզրին իմ ռետինե կոշիկներից ու մի երկու ոտնատեղից բացի ուրիշ հետք չկար: Քամին մայթերն ավազով էր վարագուրել, կարուսելը թաքցրած էր կտավի տակ, ձիերը՝ ատամները բաց, պղնձե երկար ձողերին ընթացքի մեջ քարացած: Նվագի փոխարեն կտավի արանքից քամու սուլոց էր գալիս: Էսպես կանգնած էի: Բոլորրը դպրոցում էին: Ես՝ չէ: Վաղը գնացքը մեզ արևմուտք՝ երկրի հակառակ ծայրն էր տանելու: Մայրիկիս հետ վերջին անգամ, կարճատև, լողափ էինք եկել: Ամայությունից չգիտեմ ինչու ուզեցի մենակ մնալ: «Մայրի՛կ, կլինի՞ ափով մի քիչ վազեմ», – հարցրեցի: «Լավ, բայց չուշանաս ու ջրին մոտ չգնաս»: Ես վազեցի: Ավազը ոտքերիս տակ գալարվում էր, քամին ասես ինձ վեր հաներ: Դուք էլ զգացած կլինեք. ձեռքերը տարածած վազում ես, ու թվում է, թե մատներիցդ թևեր են աճում. քամուց: Մայրիկը մնաց հեռվում նստած: Շուտով փոքրիկ սև կետ էր դարձել, ու ես մեն-մենակ էի: Տասներկու տարեկանում մենակությունն անսովոր զգացում է: Չորս կողմը միշտ էնքան շատ մարդ կա, որ մենակ մնալու միակ ձևը երևակայության մեջ պատկերացնելն է: Հազար մարդով ես շրջապատված, ու բոլորը ասում են՝ ինչը ոնց անես: Մնում է, որ գոնե մտքումդ լճի ափ վազես, որ կարողանաս ինքդ քո աշխարհում մենակ մնալ: Իսկ հիմա իսկապես մենակ էի: Ջուրը մտա ու թողեցի, որ փորս սառեցնի: Մինչև հիմա ոչ մի անգամ, էդքան մարդու մեջ, չէի համարձակվել էս տեղը գալ ու փնտրել: Ջրի մեջ: Ծանոթ անունը: Բայց հիմա… Ջուրը աճպարարի պես բան է՝ քեզ կսղոցի, երկու կես կանի: Ու կթվա, թե մի կեսդ՝ ներքևինը, շաքարի պես ջրի մեջ հալվում է ու լուծվում, կորչում: Սառը ջուրն ու ժամանակ առ ժամանակ նազանքով զարնվող մի ալիք, որ ժանյակի պես մարմնիդ է փարվում: Անունը կանչեցի: Տասից ավելի անգամ կանչեցի. «Թա՛լլի, Թա՛լլի, ա՛յ Թալլի»: Փոքր ժամանակ իսկապես հավատում ես, թե կանչերիդ պիտի պատասխանեն: Կարծում ես, թե մտածածդ կարող է կատարվել: Մեկ-մեկ հենց այդպես էլ պարզվում է: Թալլիի մասին մտածեցի, թե ոնց անցյալ տարի մայիսին ջուրը մտավ՝ շեկ հյուսիկները մեջքին գցած: Ջուրն էր մտնում ու ծիծաղում, իսկ արևն ընկել էր փոքրիկ, տասներկու տարեկան ուսերին: Ջրի մասին մտածեցի, որ փակվեց ու անշարժացավ, փրկարարի մասին, որ ջուրը գցվեց, Թալլիի մայրիկի մասին, որ բղավում էր ու Թալլիի, որ էլ հետ չեկավ… Փրկարարը փորձել էր համոզել, որ գա, բայց չէր ստացվել. փրկարարը եկել էր՝ մեծ կոպիտ ձեռքերում ջրիմուռի պատառներ, բայց Թալլին չկար: Էլ դպրոցում դիմացս չէր նստելու, էլ ամռան երեկոները փողոցում գնդակ չէր խաղալու: Շատ հեռու էր գնացել, ու լիճը չէր թողնելու, որ հետ գա: Հիմա եկել էի ու էս միայնակ աշնան օրով, էս անծայրածիր երկնքի տակ, էս անծայրածիր ջրի անծայրածիր երկար ափին վերջին անգամ մենակ կանգնել: Կանչում էի ու կանչում: Թա՛լլի, ա՛յ Թալլի: Քամին, քնքուշ, ականջներս էր շոյում, ինչպես խեցիները կշոյեր, որ շշուկով լցնի: Ջուրը կրծքիս հասավ, գրկեց, հետո իջավ ծնկներիս, վերև, ներքև, էս կողմ, էն կողմ, կրունկներիս տակից սահելով: «Թա՛լլի, ի՞նչ կլինի, հե՛տ արի»: Ընդամենը տասներկու տարեկան էի: Բայց գիտեմ, թե ինչքան էի սիրում: Էն սիրով, որ մարմնի կամ վարքի հետ ոչ մի կապ չունի: Էն սիրով, որ մաքուր է, ոնց որ քամին ու ծովն ու ավազը, որ հավերժ պառկած են կողք կողքի: Էն սիրով, որ լողափին անցկացրած բոլոր տաք, երկար օրերն է, դասարանի բվվոցով լցված դպրոցական խաղաղ օրերը: Էն բոլոր անցած տարիների աշնանային երկար օրերը, որ դպրոցից տուն գնալիս նրա պայուսակն էի տանում: Թա՛լլի: Վերջին անգամ անունը կանչեցի: Դողացի: Զգացի, որ դեմքս թաց է, բայց չգիտեի, թե ոնց էր թրջվել: Ալիքներն էդքան բարձր չէին հասել: Շրջվեցի, դուրս եկա ավազին ու կես ժամ կանգնած՝ ուզում էի, որ մի հայացք, մի նշան, մի փոքրիկ պատառիկ Թալլիին հիշեցնի: Հետո չոքեցի ու ավազից ամրոց սարքեցի, զգույշ, մանրակրկիտ, ոնց որ Թալլին ու ես էինք հաճախ միասին սարքում: Բայց էս անգամ կեսը սարքեցի: Հետո վեր կացա: «Թա՛լլի, թե լսում ես, արի՛, մյուս կեսն էլ դու՛ սարքիր»: Հետո քայլեցի դեպի հեռավոր կետը, որ մայրիկս էր: Ջուրն առաջ եկավ ու ալիք-ալիք, կամաց-կամաց ավազը սրբեց, դարձրեց առաջվա պես հարթ: Լուռումունջ ափով քայլեցի: Հեռվում մի տեղ կարուսելը կամացուկ զնգաց, բայց ընդամենը քամին էր: Մյուս օրը գնացք նստեցինք ու գնացինք: Գնացքը հիշողություն չունի. շուտով ամեն ինչ մոռացնել է տալիս: Մոռանում ես Իլինոյսի արտերը, մանկությանդ գետերը, կամուրջները, լճերը, հովիտները, տնակները, ցավն ու ուրախությունը: Հարթեցնում, թողնում է հետևում, որ հորիզոնից ցած ընկնեն, կորչեն: Ես մարմինս երկարեցրի, միս ու մկան աճեցրի, միտքս փոխեցի, ավելի հասունը վերցրի, շորերս դեն նետեցի, որովհետև փոքրացել էին, միջինից ավագ դպրոց փոխադրվեցի, հետո քոլեջ: Սակրամենտոյում մի ջահել կին կար: Ինչ-որ ժամանակ ծանոթ էինք, հետո ամուսնացանք: Քսաներկու տարեկանում Արևելքը համարյա մոռացել էի: Մարգրեթն առաջարկեց, որ մեր ուշացած մեղրամիսն էն կողմերում անցկացնենք: Հիշողությունն ու գնացքը, երկուսն էլ երկու ուղղություն ունեն: Գնացքն էլ է կարող տարիներ առաջ մոռացած-գնացածը սրընթաց հետ բերել: Հորիզոնին հայտնվեց Լեյք Բլաֆ քաղաքը՝ տասը հազար բնակչությամբ: Մարգրեթն էնքան անուշիկ էր իր սիրուն նոր շորով: Ինձ էր նայում, իսկ ես զգում էի, որ հին աշխարհս կլանում, ինձ հին կյանք է տանում: Գնացքը կայարան հասավ, ու մենք, ձեռք-ձեռքի, իրերը վերցրինք ու իջանք: Երկար տարիներն ինչե՜ր են անում մարդկանց դեմքերի, մարմինների հետ: Միասին քաղաքով քայլելիս ոչ մի ծանոթ չտեսա: Արձագանքող դեմքեր տեսա՝ ձորակների արահետներ ու արշավներ արձագանքող: Խնդմնդացող դեմքեր՝ փակված դպրոցներից, տարբեր ճոճոնակների ճոճվող ու օրորվող: Բայց չխոսեցի: Քայլում էի ու նայում, ու էս բոլոր հուշերը մեջս էին կիտվում աշնանը վառելու համար հավաքած տերևների պես: Երկու շաբաթ էստեղ մնացինք ու բոլոր տեղերը միասին էինք գնում: Երջանիկ օրեր էին: Կարծում էի, թե շատ էլ սիրում եմ Մարգրեթին: Համենայն դեպս՝ կարծում էի: Վերջին օրերից մեկն էր, ու էլի միասին ափով զբոսնում էինք: Դեռ էնքան խոր աշուն չէր, որքան շատ տարիներ առաջ էն աշնանային օրը, բայց ամայության առաջին հետքերն արդեն զգացվում էին լողափին: Մարդկանց թիվը պակասել էր, նրբերշիկ վաճառող կրպակների մի մասն արդեն փակ էր՝ տախտակով մեխած, իսկ քամին սովորականի պես մեզ էր սպասում, որ երգի: Ինձ թվաց, թե ուր որ է՝ ավազին նստած մայրիկիս կտեսնեմ: Նորից մենակ մնալու էն հին ցանկությունը զգացի: Բայց չկարողացա ինձ ստիպել, որ Մարգրեթին ասեմ: Ձեռքը բռնած կանգնել ու սպասում էի: Արդեն բավական ուշ էր: Երեխաների մեծ մասը տներն էին գնացել, ու քամոտ արևին արևկող արած ընդամենը մի քանի կին ու տղամարդ էր մնացել: Փրկարարի նավակն ափին մոտեցավ: Փրկարարը դանդաղ, ձեռքին ինչ-որ բան, միջից դուրս եկավ: Ես քարացա: Շունչս պահեցի, ու թվաց, թե շատ փոքր եմ՝ ընդամենը տասներկու տարեկան, պստիկ, աննշան ու վախեցած: Քամին ոռնում էր: Մարգրեթին չէի տեսնում: Մենակ ափն էի տեսնում ու մի գորշ, թեթև պարկ բռնած՝ նավակից դանդաղ դուրս եկող փրկարարին, դեմքը՝ նույնքան գորշ ու կնճռոտ: «Էստեղ մնա, Մարգրեթ», – ասացի: Չգիտեմ՝ ինչու: «Ինչո՞ւ որ»: «Ուղղակի մնա, մի՛ հարցրու…»: Դանդաղ քայլեցի ավազով, մոտեցա փրկարարին: Վրաս նայեց: «Ի՞նչ է», – հարցրեցի: Փրկարարը հայացքը երկար չէր կտրում, բայց բերնից ձայն դուրս չէր գալիս: Գորշ պարկը ցած դրեց, և ջուրը թաց շշուկով փարվեց ու հեռացավ: «Ի՞նչ է», – նորից համառեցի ես: «Տարօրինակ է», – կամացուկ ասաց փրկարարը: Սպասում էի: «Տարօրինակ է, – ասաց շշուկով: – Սրանից տարօրինակ բան չեմ տեսել: Շատ վաղուց է մահացել»: Ես նրա բառերը կրկնեցի, նա գլխով արեց: «Կասեի՝ տասը տարի: Էս տարի էստեղ երեխա չի խեղդվել: 1933-ից մինչև հիմա տասներկու երեխա է խեղդվել, ու բոլորին մի քանի ժամում գտել ենք: Բացի մեկից, հիշու՛մ եմ: Հիմա էս մարմինը. պիտի որ տասը տարի ջրում մնացած լինի: Չէի ասեի, թե… հաճելի է»: Աչքերս ձեռքի գորշ պարկից չէի կտրում: «Բա՛ց արա», – ասացի: Չգիտեմ՝ ինչու: Քամու ձայնն ավելի բարձր էր: Նա սկսեց պարկը քանդել: «Շուտ արա, ա՛յ մարդ, բա՛ց արա», – բղավեցի: «Լավ կլիներ՝ չբացեի», – ասաց: Հետո, երևի, տեսավ արտահայտությունը, որ դեմքս պիտի որ ընդունած լիներ: «Էնքան փոքրիկ աղջիկ էր…», – ասաց: Ու մի ճեղք բացեց: Էդքանն էլ էր բավական: Ափը դատարկ էր: Մենակ երկինքն էր, ու քամին ու ջուրը ու միայնակ մոտեցող աշունը: Նայեցի ցած՝ նրան: Սկսեցի անընդհատ ինչ-որ բան կրկնել: Մի անուն: Փրկարարը վրաս նայեց: «Որտե՞ղ ես գտել», – հարցրեցի: «Էնտեղ, ցածում՝ ծանծաղ ջրի մեջ: Ինչքան ժամանակ է անցել, չէ՞»: «Հա: Տե՛ր Աստված, հա՛»: Մտածեցի՝ մարդիկ մեծանում են: Ես մեծացել եմ: Բայց ինքը չի փոխվել: Դեռ փոքր է: Դեռ երեխա է: Մահը չի թողնի, որ մեծանաս ու փոխվես: Մազերը դեռ ոսկի են: Ու միշտ փոքր կմնա, ու ես էլ միշտ կսիրեմ, Աստվա՛ծ, ախր միշտ կսիրեմ: Փրկարարը պարկի բերանը նորից կապեց: Մի երկու վայրկյանից քայլեցի մենակ, ափի երկայնքով: Հետո կանգնեցի ու գետնին ինչ-որ բանի նայեցի: Փրկարարն էստեղ է գտել, ասացի ինքս ինձ: Էստեղ, ջրի եզրին, ավազից սարքած ամրոց էր. կեսը: Ոնց որ մի ժամանակ ես ու Թալլին էինք սարքում. մի կեսն ինքը, մի կեսը՝ ես: Նայեցի ավազի ամրոցին, չոքեցի ու փոքրիկ ոտնահետքեր տեսա՝ լճից մոտեցող ու լիճը մտնող ու է՛լ դուրս չեկող: Հիմա… հասկացա: «Կօգնեմ, որ ամրոցը վերջացնես», – ասացի: Ու արեցի: Շատ դանդաղ երկրորդ կեսը սարքեցի, հետո վեր կացա, շրջվեցի ու հեռացա, որ չտեսնեմ, թե ոնց է ալիքներից փուլ գալու, ոնց որ ամեն բան է փլվում:
Ափով քայլեցի, մինչև հասա էն տեղին, ուր Մարգրեթ անունով անծանոթ մի կին ժպտալով ինձ էր սպասում։
Պարապունք 25
Ռացիոնալ արտահայտություն կոչվում է այն արտահայտությունը, որում մի քանի հանրահաշվական կոտորակներ միացված են թվաբանական գործողությունների նշաններով:
Ընդ որում այդ արտահայտությունը չպետք է պարունակի զրոյական բազմանդամի վրա բաժանման գործողություն:
Հանրահաշվական կոտորակը նույնպես անվանում են ռացիոնալ արտահայտություն:
Օրինակ․
Ռացիոնալ են հետևյալ արտահայտությունները՝

Որպեսզի այսպիսի արտահայտությունները ճիշտ պարզեցնել, պետք է՝
- պահպանել գործողությունների հերթականությունը,
- պահպանել այդ գործողությունների կատարման կանոնները,
- հիշել, որ բոլոր գործողությունները կատարվում են միայն այն արժեքների համար, որոնց դեպքում կոտորակներն իմաստ ունեն:
Օրինակ՝
Հարցեր և առաջադրանքներ:
1․ Ո՞ր արտահայտությունն է կոչվում ռացիոնալ:
Ռացիոնալ արտահայտություն կոչվում է այն արտահայտությունը, որում մի քանի հանրահաշվական կոտորակներ միացված են թվաբանական գործողությունների նշաններով:
2. Պարզեցնել ռացիոնալ արտահայտությունը.
ա) b
բ)
3. Արտահայտություններից որո՞նք իմաստ չունեն.
4. x-ի ինչպիսի թվային արժեքի համար հանրահաշվական կոտորակի արժեքը հավասար է 0-ի.
5. Գտնել արտահայտության արժեքը, երբ x=2
ա) 2/2=1
բ) 10/2=5
գ) 2-3*2/7*2=2-6/14=-6/14=3/7
դ) 2-2/2-3*2=0
6. Հաշվել արտահայտության արժեքը.
Պարապունք 24
1․ Միանդամն ընտրել այնպես, որ հավասարությունը ճիշտ լինի՝
2․ Արտահայտությունը գրել կոտորակի տեսքով․
3․Ձևափոխել հանրահաշվական կոտորակի․
4․ Ձևափոխել հանրահաշվական կոտորակի․
5․Ձևափոխել հանրահաշվական կոտորակի․
6. Կատարել գործողությունները․
7․Կատարել գործողությունները․
8․Կատարել գործողությունները․
9․Կատարել գործողությունները․

